:: MATHS.HU - Függv., határérték, folytonosság - Ingyenes mintafeladat

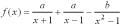
194. feladat

Számítsd ki az alábbi határértéket a megadott véges helyen!


»» A legnépszerűbb feladatok listája ITT

::Témakörök»Függv., határérték, folytonosság

   

 » Kapcsolódó linkek

Függv., határérték, folytonosság
   Ingyenes feladatok (2)
   Kredites feladatok (33)


Jelmagyarázat
   Nehézségi szint: 3
  0 kredit INGYENES feladat
  3 kredit KREDITES feladat
..témakör.. (3+10) : A zárójelben levő első szám az ingyenes, a második a Kredites feladatok számát jelenti.

Összesen 35 feladat


» Kredites feladatok listája
» Ingyenes feladatok listája
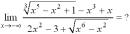
194. feladat Nehézségi szint: 0 kredit, ingyenes
» Függv., határérték, folytonosság » Függv. határértéke véges helyen

Számítsd ki az alábbi határértéket a megadott véges helyen!


407. feladat Nehézségi szint: 5 kredit
» Függv., határérték, folytonosság » Függv. határértéke véges helyen

Számítsd ki az alábbi határértékeket!


203. feladat Nehézségi szint: 0 kredit, ingyenes
» Függv., határérték, folytonosság » L'Hospital szabály

Számítsd ki az alábbi határértéket a végtelenben!


337. feladat Nehézségi szint: 2 kredit
» Függv., határérték, folytonosság » Függv. határértéke véges helyen

Számítsd ki az alábbi határértéket

a/ nevezetes határérték segítségével,
b/ a l'Hospital szabály segítségével!


284. feladat Nehézségi szint: 3 kredit
» Függv., határérték, folytonosság » L'Hospital szabály

"p" paraméter mely értéke mellett létezik az alábbi határérték? Létezhet-e tágabb értelemben vett határértéke a kifejezésnek?


283. feladat Nehézségi szint: 2 kredit
» Függv., határérték, folytonosság » L'Hospital szabály

Számítsd ki a tört határértékét a pozitív végtelenben!


282. feladat Nehézségi szint: 4 kredit
» Függv., határérték, folytonosság » L'Hospital szabály

Számítsd ki a szorzat határértéket, ha az létezik!


281. feladat Nehézségi szint: 3 kredit
» Függv., határérték, folytonosság » L'Hospital szabály

Számítsd ki az alábbi határértéket, ha az létezik!


280. feladat Nehézségi szint: 2 kredit
» Függv., határérték, folytonosság » L'Hospital szabály

Számítsd ki az alábbi határértéket!


254. feladat Nehézségi szint: 3 kredit
» Függv., határérték, folytonosság » Folytonos függvények

Milyen "A" és "B" értékek mellett tehető folytonossá az f(x) függvény az x=1 és x=4 pontokban?


253. feladat Nehézségi szint: 4 kredit
» Függv., határérték, folytonosság » Racionális és irracionális törtfüggvények határértéke

Adott az alábbi f(x) függvény. Vizsgáld meg a határértékét a megadott 5 különböző helyen (x=a)!


244. feladat Nehézségi szint: 3 kredit
» Függv., határérték, folytonosság » Nevezetes határértékek

Számítsd ki az alábbi határértéket!


222. feladat Nehézségi szint: 3 kredit
» Függv., határérték, folytonosság » Függv. határértéke a végtelenben

Számítsd ki az alábbi kifejezés határértéket a negatív végtelenben!


221. feladat Nehézségi szint: 2 kredit
» Függv., határérték, folytonosság » Függv. határértéke a végtelenben

Számítsd ki az alábbi kifejezés határértéket a pozitív, és a negatív végtelenben!


220. feladat Nehézségi szint: 3 kredit
» Függv., határérték, folytonosság » Nevezetes határértékek

Számítsd ki az alábbi tört határértékét az x=0 helyen!


219. feladat Nehézségi szint: 3 kredit
» Függv., határérték, folytonosság » Nevezetes határértékek

Számítsd ki az alábbi tört határértékét az x=0 helyen! Ha nem létezne, vizsgáld meg, tágabb értelemben létezik-e!


218. feladat Nehézségi szint: 3 kredit
» Függv., határérték, folytonosság » Nevezetes határértékek

Számítsd ki az alábbi tört határértékét az x=0 helyen!


217. feladat Nehézségi szint: 4 kredit
» Függv., határérték, folytonosság » Racionális és irracionális törtfüggvények határértéke

Számítsd ki az irracionális tört határértékét az x=1 véges helyen!


215. feladat Nehézségi szint: 4 kredit
» Függv., határérték, folytonosság » Függv. határértéke véges helyen

Számítsd ki az alábbi határértéket a véges helyen!


214. feladat Nehézségi szint: 2 kredit
» Függv., határérték, folytonosság » Racionális és irracionális törtfüggvények határértéke

Számítsd ki az alábbi határértéket a végtelenben!


212. feladat Nehézségi szint: 6 kredit
» Függv., határérték, folytonosság » Racionális és irracionális törtfüggvények határértéke

Mely "a" és "b" paraméter esetén létezik f(x) függvény határértéke az x= -1 és x= +1 helyeken?
Végezz teljes diszkussziót "a" és "b" paraméter függvényében, felsorolva az összes lehetőséget!


211. feladat Nehézségi szint: 3 kredit
» Függv., határérték, folytonosság » Racionális és irracionális törtfüggvények határértéke

Számítsd ki az alábbi f(x) függvény határértékét az x=0 és x=1 helyen!


210. feladat Nehézségi szint: 3 kredit
» Függv., határérték, folytonosság » Függv. határértéke véges helyen

Igazold a határérték definíciója alapján az alábbi határérték helyességét!


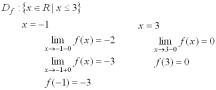
209. feladat Nehézségi szint: 2 kredit
» Függv., határérték, folytonosság » Függv. pontbeli folytonossága

Egy f(x) függvény értelmezési tartománya adott, továbbá az x= -1 és x= 3 helyeken az alábbiakat tudjuk még (lásd alább).

Vizsgáld meg mindkét pontban az f(x) függvény folytonosságát!


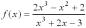
205. feladat Nehézségi szint: 4 kredit
» Függv., határérték, folytonosság » Függv. pontbeli folytonossága

Vizsgáld meg az f(x) függvény x=1, x=2, x=3 pontbeli folytonosságát! Ha valamelyik helyen nem folytonos, folytonossá tehető-e? Maga az f(x) függvény folytonos-e?


204. feladat Nehézségi szint: 3 kredit
» Függv., határérték, folytonosság » Függv. pontbeli folytonossága

Vizsgáld meg az f(x) függvény x=0 pontbeli folytonosságát! Ha ebben a pontban nem folytonos, hogyan tudnánk folytonossá tenni?


202. feladat Nehézségi szint: 3 kredit
» Függv., határérték, folytonosság » Nevezetes határértékek

Számítsd ki az alábbi határértéket a végtelenben!


201. feladat Nehézségi szint: 2 kredit
» Függv., határérték, folytonosság » L'Hospital szabály

Számítsd ki az alábbi határértéket a végtelenben!


200. feladat Nehézségi szint: 2 kredit
» Függv., határérték, folytonosság » Nevezetes határértékek

Számítsd ki az alábbi határértéket a végtelenben!


199. feladat Nehézségi szint: 4 kredit
» Függv., határérték, folytonosság » Függv. határértéke véges helyen

Számítsd ki az alábbi határértéket a megadott véges helyen!


198. feladat Nehézségi szint: 3 kredit
» Függv., határérték, folytonosság » Függv. határértéke a végtelenben

Számítsd ki az alábbi határértéket a pozitív végtelenben!


197. feladat Nehézségi szint: 3 kredit
» Függv., határérték, folytonosság » Nevezetes határértékek

Számítsd ki az alábbi határértéket a végtelenben!


196. feladat Nehézségi szint: 3 kredit
» Függv., határérték, folytonosság » Racionális és irracionális törtfüggvények határértéke

Számítsd ki az alábbi határértéket a végtelenben!


195. feladat Nehézségi szint: 3 kredit
» Függv., határérték, folytonosság » Racionális és irracionális törtfüggvények határértéke

Számítsd ki az alábbi határértéket mindkét végtelenben!


193. feladat Nehézségi szint: 2 kredit
» Függv., határérték, folytonosság » Függv. határértéke a végtelenben

Számítsd ki az alábbi határértéket a pozitív végtelenben!



» Kredites feladatok listája
» Ingyenes feladatok listája

Bejelentkezés

 Jelszó:
Elfelejtett jelszó
Regisztráció
matek korrepetálás


Mai látogatók: 0
Regisztrált felhasználók:    1901
Ügyfélszolgálat (9-22 között)
06 (20) 396-03-74
VÁRJUK A VÉLEMÉNYED!

Mely témakörök érdekelnek Téged?
 Sorozatok
 Differenciálszámítás
 Függv., határérték, folytonosság
 Többváltozós függvények
 Integrálszámítás
 Differenciálegyenletek
 Komplex számok
 Valószínűségszámítás
 Matematikai statisztika
 Lineáris algebra, mátrixok

Hol hallottál a maths.hu oldalról?
 az interneten találtam
 újságban olvastam
 plakáton láttam
 ismerősöm mesélte



Szavazás állása

Egyéb oldalak

www.webtelefonkonyv.hu

Javasolt böngészők

Microsoft Internet ExplorerMicrosoft Edge
Google ChromeGoogle Chrome
Link firefox.huFirefox
OperaOpera