::»
|
|
|
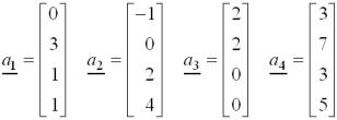
Adott az alábbi 4 vektor.
a/ Függetlenek-e ezek a vektorok egymástól?
b/ Vond be őket a bázisba, ha az lehetséges!
|
 | nehézségi fok |
|
|
|
|
|
|
START
2
3
4
5
6
7
8
9
10
11
12
13
14
15
»
|
|
|
|
| 178. feladat |
Nehézségi szint: |
0 kredit, ingyenes |
|
» Különleges módszerek, eljárások » Bázistranszformáció - mintafeladat lépésről lépésre |
|
|
|
|
|