::»
|
|
|
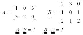
Adott két mátrix (A és B). Számítsd ki az alábbi szorzatokat (ha azok léteznek):
|
 | nehézségi fok |
|
|
|
|
|
|
START
2
3
4
5
6
7
8
9
10
VÉGE
|
|
|
|
| 181. feladat |
Nehézségi szint: |
0 kredit, ingyenes |
|
» Különleges módszerek, eljárások » Két mátrix szorzata - mintafeladat lépésről lépésre |
|
|
|
|
|